Around this time five years ago, Donald Trump’s White House team saw the epidemiological models that showed Covid claiming the lives of hundreds of thousands of Americans. But they didn’t like what the evidence told them, and the president preferred data that made him happy.
And so, as The Washington Post reported, a White House team, led by Kevin Hassett — an economist with no background in infectious diseases — “quietly built an econometric model to guide response operations.” That was unwise, and the model proved useless to the administration.
Soon after, Team Trump embraced a “cubic model” that told officials that Covid deaths would effectively disappear by mid-May 2020. Covid deaths, we now know, did not effectively disappear by mid-May 2020. (Hassett, the economist responsible for the “cubic model,” is now back in the White House, serving as the director of Trump’s National Economic Council.)
Roughly five years later, the Republican president is back in the Oval Office; he and his team are again mismanaging a crisis; and the whole operation is again trying and failing to concoct mathematical formulas. As my MSNBC colleague Hayes Brown summarized:
When President Donald Trump presented his sweeping global tariffs from the Rose Garden on Wednesday, even the most basic questions were left up in the air. At the top of the list: How did the White House derive the wildly disparate rates listed on the graphic Trump so proudly displayed? As global markets roiled in the aftermath of the announcement, the White House gave an answer about its calculations that was patently ridiculous.
Economic journalist James Surowiecki helped get the ball rolling on this, concluding that to arrive at Trump’s tariff rates, the White House simply “took our trade deficit with that country and divided it by the country’s exports to us” — a method Surowiecki described as “extraordinary nonsense.”
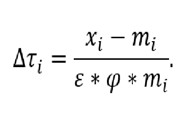
The White House pushed back, insisting in writing that officials actually relied on this formula:
The addition of Greek letters was likely intended to give the exercise an air of sophistication and academic veneer, but it wasn’t actually complicated at all, so much as it apparently designed to give the impression of being complicated.
Indeed, an NBC News report noted that the White House’s tariff calculation “seems more complicated than it is,” adding that the closer one looks at the formula, the more it proves that Surowiecki got it right: “The tariff rate for a certain country is equal to the trade deficit divided by the part we can tax, the imports, divided by two.”
The Washington Post’s Catherine Rampell noted via Bluesky that she was initially reluctant to amplify the argument that the administration’s tariff rates were based on a “dumb calculation,” but Team Trump ultimately confirmed the claims.
Rampell, a new MSNBC co-host, added that the formula is “nonsense.”
And therein lies the key detail. The White House embraced a misguided policy on tariffs; it defended the policy with a formula rooted in faux sophistication; and everyone who knows what they’re talking about quickly recognized the unavoidable fact that the administration’s metrics are effectively gibberish.
CNBC’s Steve Liesman told viewers, “Nobody ever heard of this formula. Nobody’s ever used this formula. So, I’m sorry, but the conclusion seems to be the president kind of made this up as he went along.” Douglas Holtz-Eakin, president of the conservative American Action Forum, told the Washington Post, “They’ve got an indefensible foundation to an indefensible policy.”
Ian Dunt, a British journalist, added in reference to the White House’s methodology, “It’s hard to state just how nonsensical that actually is. You might as well divide the numbers of apples in your kitchen by the number of bagels and use it to calculate your mortgage rate. To criticize it on political or economic grounds is too generous. It operates below the level of rational thought.”
The Post’s report, quoting two White House sources, said Trump “personally selected” the formula, which “bears some striking similarities to a methodology published by Peter Navarro, Trump’s hard-charging economic adviser.”
That same article quoted a White House official with knowledge of Trump’s thinking, who said, in reference to the president, “He’s at the peak of just not giving a f— anymore. Bad news stories? Doesn’t give a f—. He’s going to do what he’s going to do.”
It’s the worst possible combination of conditions: We’re left with a bad policy, based on a bad formula, embraced by indifferent officials who don’t know what they’re doing, but who are in positions of enormous power.








